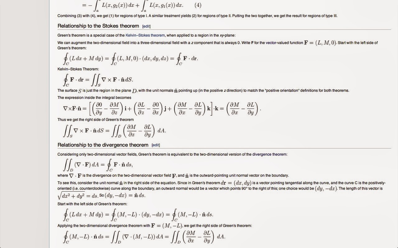
Del Wikipedia

Del Wikipedia

Del Wikipedia

Del Wikipedia

Del Wikipedia

Del Wikipedia

Del Wikipedia

Del Wikipedia

Solved Prove With Steps Prove Correct Or False Grad Gra Chegg Com

Solved Prove With Steps Prove Correct Or False Grad Gra Chegg Com

Del Wikipedia

Del Wikipedia

Del Wikipedia

Nabla Symbol Wikipedia

Nabla Symbol Wikipedia

Solved The Divergence Theorem And Vector Integrals Let F Chegg Com

Solved The Divergence Theorem And Vector Integrals Let F Chegg Com

Del Wikipedia

Del Wikipedia

Solved The Gradient Is Defined As The Following Vector N Chegg Com

Solved The Gradient Is Defined As The Following Vector N Chegg Com

8 Operateur Nabla Grad Div Rot Avec Interpretation Physique En Darija Youtube

8 Operateur Nabla Grad Div Rot Avec Interpretation Physique En Darija Youtube

Nabla Operator Wikipedia

Nabla Operator Wikipedia

Del Wikipedia

Del Wikipedia

Ieee Xplore

Ieee Xplore

Mathematical Fundamentals Gradient Gauss Divergence Theorem And Green Gauss Theorem Solid Mechanics Fea Simscale Cae Forum

Mathematical Fundamentals Gradient Gauss Divergence Theorem And Green Gauss Theorem Solid Mechanics Fea Simscale Cae Forum

Electrodynamics No Stone Unturned

Electrodynamics No Stone Unturned

Is It Correct To Say That Div A T Nabla Y In L 2 Omega Provided Div A Nabla Y In L 2 Omega

Is It Correct To Say That Div A T Nabla Y In L 2 Omega Provided Div A Nabla Y In L 2 Omega

Helmholtz Decomposition Wikipedia

Helmholtz Decomposition Wikipedia

Nabla Operator Wikipedia

Nabla Operator Wikipedia

Gradient Theorem Wikipedia

Gradient Theorem Wikipedia

Divergence Theorem Wikipedia

Divergence Theorem Wikipedia

Nabla Rossetti Diva Crime Swatches Confronti Dotted Around Bloglovin

Nabla Rossetti Diva Crime Swatches Confronti Dotted Around Bloglovin

Samer Adeeb Vector Calculus

Samer Adeeb Vector Calculus

Tensor Derivative Continuum Mechanics Wikipedia

Tensor Derivative Continuum Mechanics Wikipedia

Https Encrypted Tbn0 Gstatic Com Images Q Tbn And9gcsxc5jzsmyaild3mf52to5faq6ol22zct4axcdw Kzx3qrzs9z2 Usqp Cau

Https Encrypted Tbn0 Gstatic Com Images Q Tbn And9gcsxc5jzsmyaild3mf52to5faq6ol22zct4axcdw Kzx3qrzs9z2 Usqp Cau

Exterior Derivative Wikipedia

Exterior Derivative Wikipedia

Cylindrical Coordinate System Wikipedia

Cylindrical Coordinate System Wikipedia

On The Global Well Posedness Of 3 D Density Dependent Mhd System Springerlink

On The Global Well Posedness Of 3 D Density Dependent Mhd System Springerlink

What Is The Difference Between A And A Quora

What Is The Difference Between A And A Quora

Vorticity Wikipedia

Vorticity Wikipedia

Non Dissipative System As Limit Of A Dissipative One Comparison Of The Asymptotic Regimes Springerlink

Non Dissipative System As Limit Of A Dissipative One Comparison Of The Asymptotic Regimes Springerlink

Lorenz Gauge Condition Wikipedia

Lorenz Gauge Condition Wikipedia

5 10 Nabla Gradient And Divergence Physics Libretexts

5 10 Nabla Gradient And Divergence Physics Libretexts

Https Arxiv Org Pdf 1303 2567

Https Arxiv Org Pdf 1303 2567

Maxwell S Equations Wikipedia

Maxwell S Equations Wikipedia

Vector Calculus Wikipedia

Vector Calculus Wikipedia

Nuova Collezione Nablacosmetics Butterfly Valley

Nuova Collezione Nablacosmetics Butterfly Valley

On The Fredholm Type Theorems And Sign Properties Of Solutions For P Q Laplace Equations With Two Parameters Springerlink

On The Fredholm Type Theorems And Sign Properties Of Solutions For P Q Laplace Equations With Two Parameters Springerlink

Two Different Meanings Of Nabla With Subscript Physics Stack Exchange

Two Different Meanings Of Nabla With Subscript Physics Stack Exchange

Nabla Genesis Eyeshadow Collection Swatches Pareri Makeup Dotted Around Bloglovin

Nabla Genesis Eyeshadow Collection Swatches Pareri Makeup Dotted Around Bloglovin

Nuova Collezione Nablacosmetics Butterfly Valley

Nuova Collezione Nablacosmetics Butterfly Valley

Nuova Collezione Nablacosmetics Butterfly Valley

Nuova Collezione Nablacosmetics Butterfly Valley

Nabla Rossetti Diva Crime Swatches Confronti Dotted Around Bloglovin

Nabla Rossetti Diva Crime Swatches Confronti Dotted Around Bloglovin

Nabla Operator Wikipedia

Nabla Operator Wikipedia

Http Www Sth Kth Se Armin Alla Kurser Hl2008 Math Exercises Pdf

Http Www Sth Kth Se Armin Alla Kurser Hl2008 Math Exercises Pdf

Applications Of Tensors And Differential Geometry Springerlink

Applications Of Tensors And Differential Geometry Springerlink

Nabla Cosmetics Brow Divine Mindful Fineries

Nabla Cosmetics Brow Divine Mindful Fineries

Nabla Cosmetics Brow Divine Mindful Fineries

Nabla Cosmetics Brow Divine Mindful Fineries

Nabla Rossetti Diva Crime Swatches Confronti Dotted Around Bloglovin

Nabla Rossetti Diva Crime Swatches Confronti Dotted Around Bloglovin

Https Encrypted Tbn0 Gstatic Com Images Q Tbn And9gctmjzqs8zwh8qc0qkkx3ulurhhjkussrmg45wd Uyvgcgcf8xnm Usqp Cau

Https Encrypted Tbn0 Gstatic Com Images Q Tbn And9gctmjzqs8zwh8qc0qkkx3ulurhhjkussrmg45wd Uyvgcgcf8xnm Usqp Cau

Nabla Operator Wikipedia

Nabla Operator Wikipedia

Nabla Rossetti Diva Crime Swatches Confronti Dotted Around Bloglovin

Nabla Rossetti Diva Crime Swatches Confronti Dotted Around Bloglovin

Prove That Operatorname Div Nabla F Times Nabla G 0 Homework Help And Answers Slader

Prove That Operatorname Div Nabla F Times Nabla G 0 Homework Help And Answers Slader

Nabla Operator Wikipedia

Nabla Operator Wikipedia

24335 Pdfs Review Articles In Puzzle

24335 Pdfs Review Articles In Puzzle

2

2

Https Ctan Math Illinois Edu Info Latex Via Exemplos Latex Via Exemplos Oneside Pdf

Https Ctan Math Illinois Edu Info Latex Via Exemplos Latex Via Exemplos Oneside Pdf

24335 Pdfs Review Articles In Puzzle

24335 Pdfs Review Articles In Puzzle

Nabla Goa Perfect Day Boheme Reverse Lipsticks Dotted Around Bloglovin

Nabla Goa Perfect Day Boheme Reverse Lipsticks Dotted Around Bloglovin

Stream 3b Vector Calculus Springerlink

Stream 3b Vector Calculus Springerlink

Nabla Daphne Nº2 Swatch Makeup Look Dotted Around Bloglovin

Nabla Daphne Nº2 Swatch Makeup Look Dotted Around Bloglovin

Texts Documents And Extracts Pdf Free Download

Texts Documents And Extracts Pdf Free Download

Nabla Rossetti Diva Crime Swatches Confronti Dotted Around Bloglovin

Nabla Rossetti Diva Crime Swatches Confronti Dotted Around Bloglovin

Divergence Free H Div Fem For Time Dependent Incompressible Flows With Applications To High Reynolds Number Vortex Dynamics Springerlink

Divergence Free H Div Fem For Time Dependent Incompressible Flows With Applications To High Reynolds Number Vortex Dynamics Springerlink

Nabla Operator Wikipedia

Nabla Operator Wikipedia

Solenoidal Vector Field Wikipedia

Solenoidal Vector Field Wikipedia

Nabla Cosmetics Brow Divine Mindful Fineries

Nabla Cosmetics Brow Divine Mindful Fineries

Nabla Rossetti Diva Crime Swatches Confronti Dotted Around Bloglovin

Nabla Rossetti Diva Crime Swatches Confronti Dotted Around Bloglovin

Nabla Cosmetics Collezione Goldust Prime Impressioni Swatches Comparazioni Occhi Blush Soffice Lavanda Bloglovin

Nabla Cosmetics Collezione Goldust Prime Impressioni Swatches Comparazioni Occhi Blush Soffice Lavanda Bloglovin

24335 Pdfs Review Articles In Puzzle

24335 Pdfs Review Articles In Puzzle

Nabla Operator Wikipedia

Nabla Operator Wikipedia

Nuova Collezione Nablacosmetics Butterfly Valley

Nuova Collezione Nablacosmetics Butterfly Valley

Nabla Rossetti Diva Crime Swatches Confronti Dotted Around Bloglovin

Nabla Rossetti Diva Crime Swatches Confronti Dotted Around Bloglovin

Https Encrypted Tbn0 Gstatic Com Images Q Tbn And9gcsptheazi74iodzejuyrs3cm6d42hsep13ar279bli Usqp Cau

Https Encrypted Tbn0 Gstatic Com Images Q Tbn And9gcsptheazi74iodzejuyrs3cm6d42hsep13ar279bli Usqp Cau

Divergence Notation Video Divergence Khan Academy

Divergence Notation Video Divergence Khan Academy

Chapter 2 Vector Calculus Ppt Download

Chapter 2 Vector Calculus Ppt Download

Lorentz Force Wikipedia

Lorentz Force Wikipedia

Texts Documents And Extracts Pdf Free Download

Texts Documents And Extracts Pdf Free Download

Intuition For Divergence Formula Article Khan Academy

Intuition For Divergence Formula Article Khan Academy

2

2

Nabla Cosmetics Brow Divine Mindful Fineries

Nabla Cosmetics Brow Divine Mindful Fineries

Nabla Balkis Beverly Lipsticks Swatch Dotted Around Bloglovin

Nabla Balkis Beverly Lipsticks Swatch Dotted Around Bloglovin

2

2

2

2

Alonso Sepulveda Fisica Matematica Jlk9k1krg045

Alonso Sepulveda Fisica Matematica Jlk9k1krg045

Leonhard Euler Wikipedia

Leonhard Euler Wikipedia

On The Field Induced Transport Of Magnetic Nanoparticles In Incompressible Flow Existence Of Global Solutions Springerlink

On The Field Induced Transport Of Magnetic Nanoparticles In Incompressible Flow Existence Of Global Solutions Springerlink

24335 Pdfs Review Articles In Puzzle

24335 Pdfs Review Articles In Puzzle

What Is The Difference Between A And A Quora

What Is The Difference Between A And A Quora

Https Www Cambridge Org Core Services Aop Cambridge Core Content View B586df8d7f9832083744247014faf487 S0022143000015720a Pdf Thermomechanically Coupled Icesheet Response Cold Polythermal Temperate Pdf

Https Www Cambridge Org Core Services Aop Cambridge Core Content View B586df8d7f9832083744247014faf487 S0022143000015720a Pdf Thermomechanically Coupled Icesheet Response Cold Polythermal Temperate Pdf

24335 Pdfs Review Articles In Puzzle

24335 Pdfs Review Articles In Puzzle

1 Chapter 2 Vector Calculus 1 Elementary 2 Vector Product 3 Differentiation Of Vectors 4 Integration Of Vectors 5 Del Operator Or Nabla Symbol 6 Polar Ppt Download

1 Chapter 2 Vector Calculus 1 Elementary 2 Vector Product 3 Differentiation Of Vectors 4 Integration Of Vectors 5 Del Operator Or Nabla Symbol 6 Polar Ppt Download

Nabla Husky Birki Aurora Creme Shadow Dotted Around Bloglovin

Nabla Husky Birki Aurora Creme Shadow Dotted Around Bloglovin

Material Derivative Wikipedia

Material Derivative Wikipedia

Nabla Cosmetics Brow Divine Mindful Fineries

Nabla Cosmetics Brow Divine Mindful Fineries

Fundamental Theorem Of Line Integrals Article Khan Academy

Fundamental Theorem Of Line Integrals Article Khan Academy

24335 Pdfs Review Articles In Puzzle

24335 Pdfs Review Articles In Puzzle

Tensor Mathematics Cfd Direct Architects Of Openfoam

Tensor Mathematics Cfd Direct Architects Of Openfoam

Source : pinterest.com